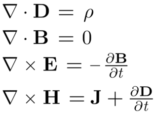
JAMES CLERK MAXWELL dimostrò che i campi elettrico e magnetico  si propagano come onde alla velocità della luce

che nel vuoto è (c = 299.792.458 m/s); il suo modello unificato per l'elettromagnetismo è considerato «la seconda grande unificazione della fisica», dopo quella operata da Isaac Newton. Cresciuto in una famiglia scozzese calvinista-presbiteriana coltivò una profonda spiritualità che influenzò il suo pensiero scientifico e filosofico, vedendo la scienza come un modo per comprendere il creatore.

[Pagina senza pretese di esaustività o imparzialità, modificata 2026.01.03; col colore grigio distinguo i miei commenti rispetto al testo attinto da altri]

Pagine correlate: matematica e fisica; fede amica della ragione, elettro-magnetismo

 

 

2026.01.03 <fb wikipedia> la distribuzione di Bose-Einstein (statistica B-E) descrive come un insieme di particelle identiche e indistinguibili chiamate bosoni (con spin intero, come fotoni e atomi di elio-4) si distribuisce tra i vari livelli energetici in equilibrio termico, permettendo a più particelle di occupare lo stesso stato quantico, a differenza dei fermioni (statistica di Fermi-Dirac). Introdotta nel 1920 da Satyendra Nath Bose per i fotoni, ed estesa agli atomi da Albert Einstein nel 1924, rappresenta, insieme alla statistica di Fermi-Dirac per i fermioni, l'estensione quantistica della classica statistica di Maxwell-Boltzmann.

 

2026.01.02 <avvenire> James Clerk Maxwell: la scienza come atto di meraviglia. La vita di Maxwell mostra come stupore scientifico e ricerca spirituale possano convivere: un uomo capace di vedere unità nel reale e restare umano anche nel dolore.

 

↑2015.02.21 <libertaepersona> L’anno della luce: dalle preghiere di J.C. Maxwell alla luce di Dante. lo scozzese James Clerk Maxwell che nel 1864, con le sue celebri equazioni, definisce in modo completo il legame tra campo elettrico e campo magnetico. Oltre che un fisico, Maxwell è anche un filosofo, un poeta e un fervente cristiano. Le sue lettere alla moglie e agli amici, infatti, testimoniano di come il suo amore alla natura sia di marca francescana: vede nelle creature la traccia, l’impronta del Creatore.